The Mysterious Fine Structure Constant –
A Number Common to Science, The Bible, and the World Around Us.
The fine structure constant has mystified scientists since the 1800s.
Some believe that the number 1/137 might hold a clue to a Grand Unified Theory of everything.
But where did it come from? Why is it there?
“It has been a mystery ever since it was discovered more than fifty years ago, and all good theoretical physicists put this number up on their wall
and worry about it. Immediately you would like to know where this number for a coupling comes from: is it related to p or perhaps to the base of natural logarithms? Nobody knows. It’s one of the greatest damn mysteries of physics: a magic number that comes to us with no understanding by man. You might say the “hand of God” wrote that number, and “we don’t know how He pushed his pencil”. — R. P. Feynman, QED: The Strange Theory of Light and Matter
Has God Planted Certain Numbers in The Bible, Science and Creation for Us to Discover?
First, if an all-powerful, all-knowing, everywhere present God exists who created the heavens and the earth, visible and invisible, (as the bible proclaims), you would expect to find evidence or unique markers of His authorship in His inspired writings, the Bible.
Secondly, since such a Creator God is also the source of all matter, intelligence, and scientific laws by which the universe is governed and held together, you would also reasonably expect to find evidence of His existence encoded in the very nature of science itself.
Third, since the Creator of the heavens and the earth is also by definition the author of all creation, once would also expect to find numeric patterns in the created things of the world.
The Mysterious Number in Science: the Fine Structure Constant 137
First, let’s look at science. Have scientists discovered a special number that may well be the key to the fundamental structure of the universe around us?
The brilliant physicist Richard Feynman (1918-1988) famously thought so, saying there is a number that all theoretical physicists of worth should “worry about”. He called it “one of the greatest damn mysteries of physics: a magic number that comes to us with no understanding by man”. That magic number, called the fine structure constant, is a fundamental constant, with a value which nearly equals 1/137. Or 1/137.03599913, to be
precise. It is denoted by the Greek letter alpha – α.
What’s special about alpha is that it’s regarded as the best example of a pure number, one that doesn’t need units. It actually combines three of nature’s fundamental constants: The speed of light, the electric charge carried by one electron, and Planck’s constant, as explains physicist and astrobiologist Paul Davies to Cosmos magazine. Appearing at the intersection of such key areas of physics as relativity, electromagnetism and quantum mechanics is what gives 1/137 its allure.
Physicist Laurence Eaves, a professor at the University of Nottingham, thinks the number 137 would be the one you’d signal to the aliens to indicate that we have some measure of mastery over our planet and understand quantum mechanics. The aliens would know the number as well, especially if they developed advanced sciences!
Link to video: https://youtu.be/WlSLIW0gZtk
Physicist Leon M. Lederman numbered his home near Fermilab 137 based on the significance of the number to those in his profession. Lederman expounded on the significance of the number in his book The God
Particle: If the Universe Is the Answer, What Is the Question?, noting that not only was it the inverse of the fine-structure constant, but was also related to the probability that an electron will emit or absorb a photon—i.e., Feynman’s conjecture.[n 1] He added that it also “contains the crux of electromagnetism (the electron), relativity (the velocity of light), and quantum theory (Planck’s constant). It would be less unsettling if the relationship between all these important concepts turned out to be one or three or maybe a multiple of pi. But 137?”
The number 137, according to Lederman, “shows up naked all over the place”, meaning that scientists on any planet in the universe using whatever units they have for charge or speed, and whatever their version of Planck’s constant may be, will all come up with 137, because it is a pure number. Lederman recalled that Richard Feynman had even suggested that all physicists put a sign in their offices with the number 137 to remind them of just how much they do not know.
What the Fine Structure Constant Describes
One use of this curious number is to measure the interaction of charged particles like electrons with electromagnetic fields. Alpha determines how fast an excited atom can emit a photon. It also affects the details of the light emitted by atoms. Scientists have been able to observe a pattern of shifts of light coming from atoms called “fine structure” (giving the constant its name). This “fine structure” has been seen in sunlight and the light coming from other stars.
The constant figures in other situations, making physicists wonder why. Why does nature insist on this number? It has appeared in various calculations in physics since the 1880s, spurring numerous attempts to come up with a Grand Unified Theory that would incorporate the constant since. So far no single explanation took hold.
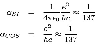
If you’d like to know the math behind fine structure constant more specifically, the way you arrive at alpha is by putting the 3 constants h, c and e together in the equation —

As the units c, e, and h cancel each other out, the “pure” number of 137.03599913 is left behind. For historical reasons, says Professor Davies, the inverse of the equation is used 2πe2/hc = 1/137.03599913. If you’re wondering what is the precise value of that fraction – it’s 0.007297351.
Why is this Number so Important?
The fine-structure constant controls how strong chemical bonds are, how we see light and the vast majority of the things in the world. It also controls fusion in stars, which is important as that’s how all the chemical elements are created. It also governs the energy levels of an atom formed from negatively charged electrons and a positive nucleus. When electrons jump between these energy levels, they absorb and emit light of particular frequencies. These frequencies show up as lines (dark for absorption; bright for emission) in a spectrum. When many different energy levels are involved, as they are in the spectrum of a chemically mixed star, the result is a fine, comb-like structure—hence the constant’s name.
The fact that α is dimensionless has led some physicists to speculate that its value has some fundamental significance. It describes a fundamental property of the universe, and the question is whether its value is just an accident of how the universe happened to be put together, or whether its value is determined by some deep principle that we have yet to discover (could this be a hint at the Creator Himself?}.
Scientists ask: “What is the reason for this peculiar number which appears to underpin the whole of nature?” I submit that alpha takes on the precise value it has so that this universe, the solar system we abide in, and the earth itself and the laws which govern it, can be delicately fine-tuned for life. Our life.
If the value of α varied even slightly more or less, life as we know it could not exist on this planet.
The Numbers 1, 3 and 7 in the Bible: Patterns Which Indicate Design
Next, let’s look at the Bible. Because the bible was written in Hebrew (the Old Testament or Tenach), and in Greek (the New Testament), and because those languages did not have separate numbering systems (the letter themselves stood for numbers), every letter has a numeric value. Hence, every letter, word and sentence can be quantified by adding up the value of the letter, the word and the sentence.

This is known as “Gematria”, or the study of numbers and patterns in the Bible. The 22 letters of the Hebrew Aleph-Bet (alphabet), are as follows, along with their numeric equivalents:
Below are the 22 letters of the Hebrew Aleph-Bet, with the Gematria values listed along with the letters:

When one considers the value of the letters, words, and sentences in the Bible – even starting with Genesis 1:1, amazing patterns of numbers are discovered! And the numbers, 3, 7, 37, 73, and 137 show up time and again. For example, in the following passage below taken from Genesis 1:1:
- Genesis 1:1, the first verse in the Bible, states
“In beginning created God the heavens and the earth” - The Hebrew word for Father is “ab”, or the letter Aleph (1) and Bet (2). Putting these two characters together, we arrive at 3 – the number representing the Trinity, or the triune complex nature of God – that He is Father, Son and Spirit.
- Gen 1:1 consists of 7 Hebrew words
- The verse contains 28 letters, or 4 x 7 =28
- The Gematria of the entire verse adds up to 2,701, or 73 x 37.= 2,701
- Jeremiah 10:12 ties in with Genesis 1:1, in that it states that God established the world by His The Gematria value of the word wisdom is 73, while the ordinate value is 37. 37 x 73 = 2,701, which is the same Gematria value of Genesis 1:1!
We see amazing patterns of numbers from the very beginning of Genesis, to the end of Revelation (the last book of the bible). Patterns of the numbers 3, 7, 37, 73, and of course 137 (among other numbers) show-up all through the Bible.
It’s as if the Master Designer has concealed His key numbers all throughout Scripture – for us to search for, uncover, study and be amazed by them. Is there any clue in Scripture itself as to why this might be? There is!
“It is the glory of God to conceal a thing: but the
honor of kings is to search out a matter.” (Proverbs 25:2)
God’s very special numbers seem to include 1,3 and 7 in various combinations (for a total of 137). Why might these numbers be so important, compared with all the rest? Here are some of the reasons.
God’s Special Numbers 1, 3 and 7 in the Bible
The Number 1:
- The number 1 is only divisible by itself. It is independent of any other numerals yet composes them all. As the Bible says, “by Him all things consist”. It symbolizes in the Bible the unity and primacy, and the oneness of the Godhead.
- The bible proclaims there is but one God, but the Shema uses words that indicate while He is one, he is also a complex unity (indicating His complex unity):
Sh’ma Yisrael Adonai Eloheinu Adonai Eḥad:
“Hear, O Israel: the LORD is our God, the LORD is One.”
- Jesus is called the firstborn of every creature (Colossians 1:15) and the firstborn not only of the dead (1:18) but also among many brethren (Romans 8:29). He is also called the “first of the first fruits” (1 Corinthians 15:20, 23), meaning that he is the first of many to be resurrected to eternal life (especially those in the first resurrection, see Revelation 20:6).
- Christ referred to himself as the first or Alpha (the first letter of the Greek language) several times in the book of Revelation (1:11, 17, 22:13).
- Notice that the symbol that scientists has given to the Fine Structure Constant just happens to be Alpha – the first letter of the Hebrew alphabet, denoting how that the Creator is the First.
- The apostle Peter tells us bluntly that it is through the name of Jesus Christ and him alone that a person can receive salvation and live forever (Acts 4:10 – 12).
- There is no other name in all creation, in spite of the sincerity of countless billions who believe in other paths to salvation, eternal life and so on, by which mankind can connect to the true God and fulfill their destiny.
- As Jesus said, “No Man comes to the Father except through Me.”
- Thus, there is only One Way of salvation, one way to unity with the Father of us all.
- The apostle Paul, in his letter to the church at Ephesus, emphasized the uniqueness of the Christian calling when he stated there was only one true spiritual body of believers where all share in one spirit (the Holy Spirit).
- True Christianity entails one hope, one faith, one baptism, one Lord and Savior and one Father (Ephesians 4:4 – 6).
The number 3:
- The number 3 is indicative of the complex unity of God – One God in Three Persons: Father, Son and Spirit
- Three is the number of perfection or completion. This number is repeated throughout the Bible as a symbol of completeness.
- God’s attributes are three: omniscience, omnipresence, and omnipotence.

- God is described in Scripture as holy 3 times: “holy, holy, holy is the Lord God Almighty” (Isaiah 6:3 and Revelation 4:8)
- Time is divided in three: past, present and future.
- Three is the first of four perfect numbers.
- Abraham offered three measures of meal to his guest(s), showing the perfection of God’s divine nature. In Numbers 15:9, the instructions to offer with a burn offering read, “Then shall he bring with the bullock a meal offering of THREE tenth deals of flour.”, as were the instructions for the cleansing of a leper in Lev 14:10.
- The third book in the Bible, where we learn about true worship, is Leviticus.
- On the third day, the earth rose from the water, symbolic of resurrection life.
- Jesus and His relationship to 3:
-
- Jesus’ ministry on earth was probably 3 years.
- Peter denied Jesus three times and then was reinstated by professing love for Him three times (as you noted).
- Jesus was crucified at the third hour, was on the cross from 3 hours, rose from the grave on the third day.
- The inscription above His cross, in three languages, showed the completeness of His rejection by man.
- He fulfilled the three offices of Prophet, Priest, and King (Deut 177:15, 18:3-5, and 18:15).
- During His ministry Jesus raised three persons from the dead.
- Paul was caught up to the third heaven, which are divided into the sky, space, and the dwelling place of God.
- A cord of three strands is not easily broken (Ecclesiastes)
- God’s will is 1) good, 2) pleasing, and 3) perfect.
- The Old Testament consists of 1) the Law, 2) the Prophets, and 3) the Writings.
- The Patriarchs are 1) Abraham, 2) Isaac, and 3) Jacob
- For more on the number three, please reference EW Bullinger’s excellent book Number in Scripture.
The number 7:
- The number seven is God’s perfect number of completion and it appears in the Bible to an overwhelmingly lopsided degree.
- There are 7 lamps, 7 spirits, 7 seals, 7 trumpets, 7 feasts, 7 bowls, 7 sprinklings of blood, 7 angels, 7 candlesticks…and on and on and on.
- We are to forgive 70 X 7 times
- The Last Days tribulation period is 7 years long
- In the trials of Egypt recorded in the Old Testament, there were to be 7 years of plenty followed by 7 years of famine
- Granted, the authors could have written the Bible with seven as a recurring number, but there were forty authors over thousands of years, many having never read the others’ writings.
The Numbers 1, 3, and 7 in Creation
The Numbers 1 and 3:
- The one Physical Universe consists of three things: 1) Time, 2) Space, and 3) Matter
- The age of the universe could be considered as roughly 13.7 times 1 billion years

- Time is divided in three different parts: 1) Past, 2) Present, and 3) Future
- Space is three dimensional: 1) Length, 2) Width, and 3) Height
- Matter coexists in three states: 1) Solid, 2) Liquid, and 3) Gas
- Single persons consists of three distinct parts: 1) Body, 2) Soul, and 3) Spirit.
- Water consists of three elements: 2 Hydrogen and 1 Oxygen
- Water can also exist in 3 forms: solid, liquid and gas
The Number 7:
Even if the abundance of sevens in the Bible was a man-made phenomenon, God made sure seven appears in non-Biblical places, as well. The Heavens and the Earth which God created contain:
- 7 Days in a week;
- 7 Colors in the spectrum;
- 7 Horizontal divisions of the Periodic Table of Elements;
- 7 Stars in the Big Dipper;
- 7 Notes on the musical scale;
- 7 Stellar Objects in our solar system visible to the naked eye from Earth—Sun, Moon, Mars, Mercury, Jupiter, Venus, Saturn.
God Almighty made mammals and birds to have gestation periods in multiples of 7:
- Mouse & Hen-21 days;
- Hare & Rat-28 days;
- Duck-42 days;
- Cat-56 days;
- Dog-63 days;
- Lion-98 days (7×14);
- Sheep-147 days (7×21);
- Man-280 days (7×40).
Man has 7 face bones, 14 neck bones, 14 ankle bones and 7 holes in his head.
A perfect heptagon, a 7-sided figure is the first polygon which cannot be formed with a compass and a straight edge.
7 written in binary code is 111—The Trinity, or complex unity of God.
Conclusion: The Creator is the Author of All Three – the Bible, Science, and Creation
Its obvious there is design and patterns in nature, and that the numbers 1, 3 and 7 turn up with astonishing regularity. Why should we be surprised when these same numbers are reflected in the laws of science, or in the original languages of Scripture? But perhaps God has placed His special numbers in creation, science, and in the very Bible itself so that we could search these sources out and be amazed at His “handiwork”.
“It is the glory of God to conceal a thing: but the
honor of kings is to search out a matter.” (Proverbs 25:2)
If the Creator of the universe wanted to go beyond the words in His love letter, the Bible, and communicate to us (moderns and ancients) what He is like, how could He show us more clearly than by becoming one of us? If He wanted to communicate to us the seriousness of breaking His moral law, how could He show us more forcefully than by demanding that the most valuable thing in
the universe be forfeited as a penalty? And if He wanted to tell us how much He loves us, how could He do it more dramatically than by dying for us? Consider John 3:16 …
“For God so loved the world
that He gave His only begotten Son, that
who so ever would believe in Him should
not perish, but have
everlasting life”.
Do you know that God loves you so much that He came and died on a cross some 2,000 years ago? And that He also rose, and is coming again? And that very soon? Do have a personal relationship with the Creator? If you do, then you have everything to look forward to – in this life, and in the life to come. You were made for a purpose, and receiving the Lord into your heart and walking daily with Him will help you come to realize His purpose in your life and fulfill it. If you don’t have a relationship with your Creator, you can! Don’t put it off! Here is a link to Billy Graham’s web site that can show you how…
Invite JESUS into your heart, and give Him your life! He will transform your life, and make you the best you could ever be! Steps to Peace with God ==> http://www.billygraham.org/SH_StepsToPeace.asp
Sources:
John Kostik, YouTube videos on the Gematria of Scripture. See https://www.facebook.com/notes/john-e-kostik/the-wisdom-of-godproof-for-the-existence-of-god/548809731821390/
Big Think:” Why the number 137 is one of the greatest mysteries in physics
https://bigthink.com/surprising-science/number-137-physics
Sixty Symbols: “Fine Structure Constant”: https://youtu.be/WlSLIW0gZtk
Richard Feynman: “The Mysterious 137”: http://www.feynman.com/science/the-mysterious-137/
How Stuff Works: “Why is 137 the Most Magical Number?”: https://science.howstuffworks.com/dictionary/physics-terms/why-is-137-most-magical-number.htm
Bible Gematria: The Fine Structure Constant: https://www.biblegematria.com/the-mysterious-137.html
Bible Study.org: https://www.biblestudy.org/bibleref/meaning-of-numbers-in-bible/1.html
Wikipedia: https://en.wikipedia.org/wiki/137_(number)